Do You Need a DEXA? – The Prediction of Fractures and the Marketing of Fear
Section titled “Do You Need a DEXA? – The Prediction of Fractures and the Marketing of Fear”In 1994 a new medical machine came on the scene – the DEXA scan, designed to look into a woman's bones and predict whether she would have a bent spine or a fracture in her future. Very soon DEXA scans became standard tests administered at menopause. For many years, in the spirit of prevention, I encouraged patients to have DEXA scans and other tests for bone density. I am coming to question the value of DEXA scanning as a routine measure for all women.
This is the third in a series of articles about bone health and the DEXA scan. The first article gave the basics of bone physiology and explained that bones are living tissue. The second article explained how DEXA scans work. This article highlights shortcomings in the DEXA scan and the economic factors that drive its use.
DEXA Part Two: The Hip Scan
Section titled “DEXA Part Two: The Hip Scan”Last month I wrote about my patient, Mary, who came to me with a DEXA scan that indicated she was at risk for fractures and recommended she take medication to prevent them. It bothered me that her report was unjustifiably alarming. Last month we examined the scan of her spine. Now let's look at the scan of her hip, which was accompanied by a report that was also falsely alarming. Here is the actual image captured by the scanner.

Figure 1
The degree of darkness of the bones was used by the scanner to estimate the bone "density." (See last month's newsletter about the fallacy of calling this shadow "density." Here is how Mary's results are plotted on a graph.

Figure 2
The scanner plots the "density" of Mary's femoral neck against her age with a small box for each hip. The blue colored bands show bone density range across the years. The middle black line is average bone density. Mary scored above average for her age, but if you moved her back and compare her to the twenty year olds, she'd be a bit below average. (Average is represented by the number 1.00 on the left hand side.) This is expressed by a T-score of -0.4. Here is the summary report she received.


The summary above tells Mary that the scanner measures her hip "density" at slightly above average for her age group (the Z score being greater than zero), and a bit lower than average for young women (the T score of -0.4).
When we arrange all women on a graph like the one below, with the lowest bone density on the left, and the highest on the right, Mary falls pretty much in the middle, whether compared with her own age group (white arrow) or young women (black arrow). Yet scanner software says that she is 32 percent more likely to break her hip than an average woman. How can the machine report that her bone "density" is better than average for her age and also say that she has a 32% higher risk of fracture? (That's what the relative risk of 1.32 means.) It is this kind of over-diagnosis that I, along with other physicians, have come to question.


Age is the Best Predictor
Section titled “Age is the Best Predictor”Next month we'll outline other methods beside the DEXA scan to predict fracture, but for new let's look just at age. Some people, men as well as women, easily break bones as they age. Most people don't, but some do. Age, much more than the DEXA score, predicts these fractures.

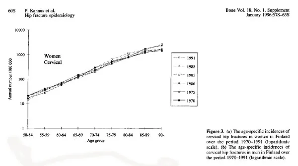
Figure 5: Bone 1996 Jan; 18:57S
In this study of Finnish women, annual fracture rates increase from about 1 per 10,000 women in the low fifties age group, up to about 1 per 100 women in the late eighties. So while DEXA scores decline with age, fracture rates increase much more than we can explain simply by looking at DEXA scores. It's likely that bone factors (other than calcium), balance and muscle strength play an important role, issues that we will explore in the next article in this series.
What's Wrong with Relying on the DEXA?
Section titled “What's Wrong with Relying on the DEXA?”As we have shown, the DEXA is not a great predictor of hip fracture. Age is a better predictor. For that minority of women who are truly at risk of fracture, DEXA can help us. What's wrong with continuing to use it as a screening test for all women? One problem is the high rate of false positives and a second problem is the low rate of good predictions. Take a look at this chart that summarizes the information.

Figure 6: DEXA scores for women with and without fracture1
What this chart does is take the range of DEXA scores for women who have actually had a fracture (the dotted line), and lay it over the range of DEXA scores for women who have not had a fracture (the solid line). It is easy to see that the DEXA scores do a lousy job of separating these two groups of women.
If your doctor follows the National Osteoporosis Foundation (NOF) guidelines and treats all patients with a DEXA score less than -2.5, he's going to fail to address the more than 95 percent of his women who are going to have a fracture but score well on the DEXA. If he chooses the NOF guideline to consider treatment for women with a score of less than -1.0, then he's treating up to half of those women unnecessarily. In any event, the above diagram shows that most women who will suffer a hip fracture will be classified as normal by the DEXA T-score.
My conclusion is that the DEXA scan is a poor predictor of hip fractures. It has less predictive value than just looking at your birthday on your driver's license. Unless you're already in a high risk group, the cost and radiation just isn't worth it.
What Osteoporosis Is and What it Isn't
Section titled “What Osteoporosis Is and What it Isn't”DEXA scans like Mary's unnecessarily frighten women. The real disease of osteoporosis is quite a different animal from coming up with a low score on a DEXA. As I gathered information for this newsletter, I read many estimates2 of fracture risk versus T-score.3 Estimates varied widely and were often based on assumptions4 5 that were based on other assumptions. Several studies6 show that DEXA numbers are elastic7. As one researcher noted "A slight variation in measurement can one day give an SD of –2.4 and the next day of –2.6, i.e. one day the patient will be diagnosed as having osteoporosis, and the next day they will not."8
Just to remind, here is another image of a femur, in cross-section, with drawings of the trabecular bone in people with normal bones and those with osteoporosis. You can see thinning of the cortex (outer bone) on the right, and weakening of trabecular structures.

Figure 7: Internal bone structure- normal versus osteoporosis9
The Politics of DEXA Scores – WHO Defines Osteoporosis?
Section titled “The Politics of DEXA Scores – WHO Defines Osteoporosis?”Historically, osteoporosis was considered a condition that came with age and was characterized by fractures, and bones that looked like the image above. In 1994, during a pharmaceutical industry-sponsored conference10, WHO, the World Health Organization, redefined osteoporosis in as a low score on a DEXA scan. Many doctors question defining a disease as the number given by a machine print-out. That seems just a little too convenient for the manufacturers. The real international consensus describes osteoporosis as
"a systemic skeletal disease characterized by low bone mass and micro-architectural deterioration of bone tissue, with a consequent increase in bone fragility and susceptibility to fractures".11
Using a number on a test score to define an illness is fraught with difficulties. Even researchers who support the WHO definition note the difficulties of establishing young adult norms.12 It appears that manufacturers tend to overestimate young women's bone density, making the older women appear to have less bone strength than actually they have.13 As well, there is a natural variation in bone. Looking at various ethnic groups, peak bone mass varies by up to 100 percent.14
The Marketing of Fear
Section titled “The Marketing of Fear”Most popular articles about age-related fractures use suspect numbers regarding the prevalence of osteoporosis. For instance, The New York Times15 published the prediction that, "half of women will have an osteoporosis-related fracture." I just haven't seen that here in Port Townsend. I'd put my money on a Finnish study16 which stated "The lifetime risk of a hip fracture is 16-18 percent in white women." Even if you add vertebral compression fracture, wrist fracture, etc, most of which are not life-threatening, I doubt you are going to reach a 50 percent rate. Swedish estimates are that hip fracture causes just 1% of all deaths in Sweden.17 When a fit woman fractures a hip, she generally recovers well. The poor outcomes occur with people who are frail to start with.
The BC Centre for Health Services and Policy Research has published an illuminating study entitled "Normal bone mass, aging bodies, marketing of fear: Bone mineral density screening of well women" (http://www.chspr.ubc.ca/files/publications/1998/bco98-10C.pdf) from which I have taken some of the illustrations in this newsletter. According to this study, DEXA scans indicate that 22 percent of menopausal women have osteoporosis and 52 percent have osteopenia. And yet real world fracture rates don't support these estimates. This is a prime example, the study says, of medical authorities defining a natural life process – menopause – as illness.
Social studies of medicine have repeatedly demonstrated how market forces may create and capitalize on a climate of risk and reassurance, which then drives the use of health technologies regardless of whether they lead to improved health outcome. This has been shown for prenatal ultrasound, electronic fetal monitors, predictive genetic and other screening, hormone therapy, and mammography, among others.
Driving the market
After WHO anointed the DEXA scan as the determinant of osteoporosis, X-ray equipment suppliers ramped up sales and production. Radiology departments and specialists invested in new equipment. Pharmaceutical grants to medical schools, medical societies, and educational meetings for practicing physicians made sure the message got out. Patient advocacy groups formed and established websites, positions, and payrolls. Influential groups such as the North American Menopause Society (NAMS, supported by pharmaceutical companies that make medications used by women with low DEXA scores18) took a favorable view of DEXA scanning. (NAMS buys the WHO definition entire, and pays no attention to any contradictory evidence such as I report in this newsletter.19) Magazines, dependent upon advertising from big pharma, readily printed articles based on these authoritative sources, some written at the expense of those drug companies.
As a result of this commercial pressure, many of our patients come in the door convinced that they need a DEXA scan to see if they need meds to prevent a fracture. They may, as Mary did, score higher than average for their age group, yet be inexplicably told they have a 30% higher risk of fracture.
This series of newsletters should help you understand the very concrete limits of this technology.
Coming soon
Section titled “Coming soon”Aging Bones
- We will give you tools to estimate your risk of osteoporotic fracture.
- We will discuss measures, natural as well as pharmaceutical, to strengthen bone and reduce fracture.
Multiple vitamins
Colon cancer screening
If you're interested in more frequent health updates from Dr. Rienstra and the clinic staff, please become a fan of the clinic's Facebook page.
Endnotes:
1 Image from BC Centre for Health Services and Policy Research http://www.chspr.ubc.ca/files/publications/1997/bco97-02T_bmd.pdf
2 "The various adjustments for bone size and the different patterns of age-related change in bone density had profound effects on the estimated prevalence of osteoporosis by World Health Organization criteria, which ranged from 2% to 45% among postmenopausal women and from 0 to 36% among men 50 years of age and older depending upon the skeletal parameter that was assessed. These observations emphasize the difficulties involved in attempts to standardize BMD scores and definitions of osteoporosis for clinical use." Effects of body size and skeletal site on the estimated prevalence of osteoporosis in women and men.
Melton LJ 3rd, Khosla S, Achenbach SJ, O'Connor MK, O'Fallon WM, Riggs BL.
Osteoporos Int. 2000;11(11):977-83.
Department of Health Sciences Research, Mayo Clinic and Mayo Foundation, Rochester, Minnesota 55905, USA. melton.j@mayo.edu
There is growing awareness that therapeutic decision-making may be confounded by discrepancies in the prevalence of osteoporosis by World Health Organization criteria when bone density is measured at different skeletal sites. To explore this issue, we measured bone density at a variety of skeletal sites in a population-based sample of 348 men (age 22-90 years) and 351 women (age 21-93 years). Men had greater areal bone mineral density (BMD, g/cm2) than women at almost every subregion on total body, anteroposterior (AP) and lateral lumbar spine, proximal femur and forearm scans by dual-energy X-ray absorptiometry. However, adjustment for height or, where possible, calculation of bone mineral apparent density (BMAD, g/cm3) reduced or eliminated these differences. In addition, three different patterns of change in bone density over life were observed at the various skeletal sites as judged from cross-sectional data: no apparent age-related bone loss (e.g., AP spine BMD in men); linear bone loss over life in both sexes beginning in young adulthood (e.g., femoral neck BMD); and bone loss beginning around the time of menopause or a comparable age in men (e.g., midradius BMD). The various adjustments for bone size and the different patterns of age-related change in bone density had profound effects on the estimated prevalence of osteoporosis by World Health Organization criteria, which ranged from 2% to 45% among postmenopausal women and from 0 to 36% among men 50 years of age and older depending upon the skeletal parameter that was assessed. These observations emphasize the difficulties involved in attempts to standardize BMD scores and definitions of osteoporosis for clinical use.
3 Osteoporos Int (2000) 11:189–191 Do We Need to Change the WHO Definition of Osteoporosis? P. D. Delmas
"healthy elderly women with a hip T-score below –2.5 have a 15 fold increase in the risk of hip fracture as compared to those with a normal BMD (T-score 4–1), with an annual incidence of 1.6%"
4 Effects of body size and skeletal site on the estimated prevalence of osteoporosis in women and men.
Melton LJ 3rd, Khosla S, Achenbach SJ, O'Connor MK, O'Fallon WM, Riggs BL.
Osteoporos Int. 2000;11(11):977-83.
Department of Health Sciences Research, Mayo Clinic and Mayo Foundation, Rochester, Minnesota 55905, USA. melton.j@mayo.edu
There is growing awareness that therapeutic decision-making may be confounded by discrepancies in the prevalence of osteoporosis by World Health Organization criteria when bone density is measured at different skeletal sites. To explore this issue, we measured bone density at a variety of skeletal sites in a population-based sample of 348 men (age 22-90 years) and 351 women (age 21-93 years). Men had greater areal bone mineral density (BMD, g/cm2) than women at almost every subregion on total body, anteroposterior (AP) and lateral lumbar spine, proximal femur and forearm scans by dual-energy X-ray absorptiometry. However, adjustment for height or, where possible, calculation of bone mineral apparent density (BMAD, g/cm3) reduced or eliminated these differences. In addition, three different patterns of change in bone density over life were observed at the various skeletal sites as judged from cross-sectional data: no apparent age-related bone loss (e.g., AP spine BMD in men); linear bone loss over life in both sexes beginning in young adulthood (e.g., femoral neck BMD); and bone loss beginning around the time of menopause or a comparable age in men (e.g., midradius BMD). The various adjustments for bone size and the different patterns of age-related change in bone density had profound effects on the estimated prevalence of osteoporosis by World Health Organization criteria, which ranged from 2% to 45% among postmenopausal women and from 0 to 36% among men 50 years of age and older depending upon the skeletal parameter that was assessed. These observations emphasize the difficulties involved in attempts to standardize BMD scores and definitions of osteoporosis for clinical use.
5 Effects of body size and skeletal site on the estimated prevalence of osteoporosis in women and men.
Melton LJ 3rd, Khosla S, Achenbach SJ, O'Connor MK, O'Fallon WM, Riggs BL.
Osteoporos Int. 2000;11(11):977-83.
Department of Health Sciences Research, Mayo Clinic and Mayo Foundation, Rochester, Minnesota 55905, USA. melton.j@mayo.edu
There is growing awareness that therapeutic decision-making may be confounded by discrepancies in the prevalence of osteoporosis by World Health Organization criteria when bone density is measured at different skeletal sites. To explore this issue, we measured bone density at a variety of skeletal sites in a population-based sample of 348 men (age 22-90 years) and 351 women (age 21-93 years). Men had greater areal bone mineral density (BMD, g/cm2) than women at almost every subregion on total body, anteroposterior (AP) and lateral lumbar spine, proximal femur and forearm scans by dual-energy X-ray absorptiometry. However, adjustment for height or, where possible, calculation of bone mineral apparent density (BMAD, g/cm3) reduced or eliminated these differences. In addition, three different patterns of change in bone density over life were observed at the various skeletal sites as judged from cross-sectional data: no apparent age-related bone loss (e.g., AP spine BMD in men); linear bone loss over life in both sexes beginning in young adulthood (e.g., femoral neck BMD); and bone loss beginning around the time of menopause or a comparable age in men (e.g., midradius BMD). The various adjustments for bone size and the different patterns of age-related change in bone density had profound effects on the estimated prevalence of osteoporosis by World Health Organization criteria, which ranged from 2% to 45% among postmenopausal women and from 0 to 36% among men 50 years of age and older depending upon the skeletal parameter that was assessed. These observations emphasize the difficulties involved in attempts to standardize BMD scores and definitions of osteoporosis for clinical use.
6 Effects of body size and skeletal site on the estimated prevalence of osteoporosis in women and men.
Melton LJ 3rd, Khosla S, Achenbach SJ, O'Connor MK, O'Fallon WM, Riggs BL.
Osteoporos Int. 2000;11(11):977-83.
Department of Health Sciences Research, Mayo Clinic and Mayo Foundation, Rochester, Minnesota 55905, USA. melton.j@mayo.edu
There is growing awareness that therapeutic decision-making may be confounded by discrepancies in the prevalence of osteoporosis by World Health Organization criteria when bone density is measured at different skeletal sites. To explore this issue, we measured bone density at a variety of skeletal sites in a population-based sample of 348 men (age 22-90 years) and 351 women (age 21-93 years). Men had greater areal bone mineral density (BMD, g/cm2) than women at almost every subregion on total body, anteroposterior (AP) and lateral lumbar spine, proximal femur and forearm scans by dual-energy X-ray absorptiometry. However, adjustment for height or, where possible, calculation of bone mineral apparent density (BMAD, g/cm3) reduced or eliminated these differences. In addition, three different patterns of change in bone density over life were observed at the various skeletal sites as judged from cross-sectional data: no apparent age-related bone loss (e.g., AP spine BMD in men); linear bone loss over life in both sexes beginning in young adulthood (e.g., femoral neck BMD); and bone loss beginning around the time of menopause or a comparable age in men (e.g., midradius BMD). The various adjustments for bone size and the different patterns of age-related change in bone density had profound effects on the estimated prevalence of osteoporosis by World Health Organization criteria, which ranged from 2% to 45% among postmenopausal women and from 0 to 36% among men 50 years of age and older depending upon the skeletal parameter that was assessed. These observations emphasize the difficulties involved in attempts to standardize BMD scores and definitions of osteoporosis for clinical use.
7 Effects of body size and skeletal site on the estimated prevalence of osteoporosis in women and men.
Melton LJ 3rd, Khosla S, Achenbach SJ, O'Connor MK, O'Fallon WM, Riggs BL.
Osteoporos Int. 2000;11(11):977-83.
Department of Health Sciences Research, Mayo Clinic and Mayo Foundation, Rochester, Minnesota 55905, USA. melton.j@mayo.edu
There is growing awareness that therapeutic decision-making may be confounded by discrepancies in the prevalence of osteoporosis by World Health Organization criteria when bone density is measured at different skeletal sites. To explore this issue, we measured bone density at a variety of skeletal sites in a population-based sample of 348 men (age 22-90 years) and 351 women (age 21-93 years). Men had greater areal bone mineral density (BMD, g/cm2) than women at almost every subregion on total body, anteroposterior (AP) and lateral lumbar spine, proximal femur and forearm scans by dual-energy X-ray absorptiometry. However, adjustment for height or, where possible, calculation of bone mineral apparent density (BMAD, g/cm3) reduced or eliminated these differences. In addition, three different patterns of change in bone density over life were observed at the various skeletal sites as judged from cross-sectional data: no apparent age-related bone loss (e.g., AP spine BMD in men); linear bone loss over life in both sexes beginning in young adulthood (e.g., femoral neck BMD); and bone loss beginning around the time of menopause or a comparable age in men (e.g., midradius BMD). The various adjustments for bone size and the different patterns of age-related change in bone density had profound effects on the estimated prevalence of osteoporosis by World Health Organization criteria, which ranged from 2% to 45% among postmenopausal women and from 0 to 36% among men 50 years of age and older depending upon the skeletal parameter that was assessed. These observations emphasize the difficulties involved in attempts to standardize BMD scores and definitions of osteoporosis for clinical use.
8 Effects of body size and skeletal site on the estimated prevalence of osteoporosis in women and men.
Melton LJ 3rd, Khosla S, Achenbach SJ, O'Connor MK, O'Fallon WM, Riggs BL.
Osteoporos Int. 2000;11(11):977-83.
9 http://www.moneduloides.com/it-gets-worse-after-the-middle-ages-bone-disease-and-the-medieval-period-part-ii/
10 WHO Study Group. Assessment of fracture risk and its application to screening for postmenopausal
osteoporosis. Geneva, Switzerland: World Health Organization, 1994.
11 An update on the diagnosis and assessment of osteoporosis with densitometry. Committee of Scientific Advisors, International Osteoporosis Foundation.
Kanis JA, Glüer CC.
Osteoporos Int. 2000;11(3):192-202.
Comment in:
- Osteoporos Int. 2001;12(3):249-50. PMID: 11315245.
Comment on:
- Osteoporos Int. 2000;11(3):189-91. PMID: 10824233.
Centre for Metabolic Bone Diseases (WHO Collaborating Centre), University of Sheffield Medical School, UK.
In 1994 the WHO proposed guidelines for the diagnosis of osteoporosis based on measurement of bone mineral density. They have been widely used for epidemiological studies, clinical research and for treatment strategies. Despite the widespread acceptance of the diagnostic criteria, several problems remain with their use. Uncertainties concern the optimal site for assessment, thresholds for men and diagnostic inaccuracies at different sites. In addition, the development of many new technologies to assess the amount or quality of bone poses problems in placing these new tools within a diagnostic and assessment setting. This review considers the recent literature that has highlighted the strengths and weaknesses of diagnostic thresholds and their use in the assessment of fracture risk, and makes recommendations for actions to resolve these difficulties.
12 An update on the diagnosis and assessment of osteoporosis with densitometry. Committee of Scientific Advisors, International Osteoporosis Foundation.
Kanis JA, Glüer CC.
Osteoporos Int. 2000;11(3):192-202.
13 Screening for osteopenia and osteoporosis: do the accepted normal ranges lead to overdiagnosis?
Ahmed AI, Blake GM, Rymer JM, Fogelman I.
Osteoporos Int. 1997;7(5):432-8.
Department of Gynaecology, Guy's Hospital, London, UK.
Osteoporosis is a common disease which causes significant morbidity and mortality and in many cases may be preventable. In the absence of fragility fractures the accepted method of identifying those at high risk is based upon bone mineral density (BMD) measurements with defined cut-off points. To correctly delineate normal from abnormal, reliable reference ranges appropriate to the observed population are required. We have studied the age-dependent changes in mean BMD and standard deviation at the lumbar spine and femoral neck in a normal population extracted from 4280 women screened for osteopenia and compared our findings with the manufacturer's normal range (MNR). The recent World Health Organization criteria for the diagnosis of osteopenia and osteoporosis using the 'manufacturer's young normal' (MYN) values and our 'study young normal' (SYN) values have been applied. The study normal population (SNP) included 2068 women (mixed social class; mean age 53 years, range 30-79 years). The distribution of mean lumbar spine BMD with age in SNP was generally similar to the MNR. In contrast mean femoral neck bone density from SNP was significantly different from the MNR, ranging from 3% to 12% lower in each 5-year group analysed (p < 0.05). Comparison of standard deviations in spine BMD in SNP against the fixed MNR standard deviation showed a statistically significant increase commencing at 45 years of age. The magnitude of this increase appeared to rise with age and remained significant in the 75- to 79-year age group (p < 0.05). In contrast, standard deviation in femoral neck BMD in SNP appeared relatively constant with age except in the group of women at and around the time of the menopause. The SYN value for mean lumbar spine BMD was 0.994 g/cm2 (cf. MYN value 1.047, p < 0.0001) with a standard deviation of 0.122 g/cm2 (cf. MYN 0.11, p = 0.0005). Similarly our SYN value for femoral neck BMD was 0.787 (cf. MYN value 0.895, p < 0.0001) with a standard deviation of 0.109 (cf. MYN value 0.10, p = 0.0027). Using SYN values 36% (748) for the spine and 33% (675) for the hip of our normal population are classified as osteopenic or osteoporotic. Using MYN values increases the proportion of women classified as osteopenic or osteoporotic to 52% (1078) for the spine and 68% (1409) for the femur. If both sites of measurement are considered simultaneously SYN classifies 46% (952) as either osteopenic or osteoporotic at one or other site, which is increased to 73% (1513) when the MYN values are used. We observe that manufacturer's reference ranges may not be appropriate for the local population and may lead to an erroneously high diagnosis of osteopenia and osteoporosis, which would lead to unnecessary patient anxiety and perhaps errors regarding treatment.
14 Osteoporotic fractures, ageing, and the bone density T-score.
Dequeker J.
Clin Rheumatol. 2000;19(3):171-3.
The current practice of relying on a T-score definition to make the diagnosis of osteoporosis is a major concern. A number of studies have indicated that using the manufacturer's normal range to identify women at high risk for fracture following bone density measurement may lead to an erroneously high diagnosis of osteopenia and osteoporosis, which would cause unnecessary patient anxiety and subsequent overtreatment [5]. Furthermore, it is known that within four ethnic groupings (Hawaiian, Filipino, Japanese and white women) there are marked variations in bone mass between individuals. At the extremes, women differed in peak bone mass by 50%–100% or more within all four ethnic groups
15 http://www.nytimes.com/2009/12/29/health/29brod.html?nl=health&emc=healthupdateemb2
16 Most articles you read about age-related fractures use suspect numbers regarding the prevalence of osteoporosis as part of a campaign to draw attention and funding to this field. Several studies show that these numbers are elastic.
In Kannus P, Parkkari J, Sievänen H, Heinonen A, Vuori I, Järvinen M. Bone. 1996 Jan;18(1 Suppl):57S-63S.
Accident & Trauma Research Center, UKK Institute for Health Promotion Research, Tampere, Finland, they state "The various adjustments for bone size and the different patterns of age-related change in bone density had profound effects on the estimated prevalence of osteoporosis by World Health Organization criteria, which ranged from 2% to 45% among postmenopausal women and from 0 to 36% among men 50 years of age and older depending upon the skeletal parameter that was assessed. These observations emphasize the difficulties involved in attempts to standardize BMD scores and definitions of osteoporosis for clinical use."
Abstract: There were an estimated 1.66 million hip fractures world-wide in 1990. According to the epidemiologic projections, this worldwide annual number will rise to 6.26 million by the year 2050. This rise will be in great part due to the huge increase in the elderly population of the world. However, the age-specific incidence rates of hip fractures have also increased during the recent decades and in many countries this rise has not leveled off. In the districts where this increase has either showed or leveled off, the change seems to especially concern women's cervical fractures. In men, the increase has continued unabated almost everywhere. Reasons for the age-specific increase are not known: increase in the age-adjusted incidence of falls of the elderly individuals with accompanying deterioration in the age-adjusted bone quality (strength, mineral density) may partially explain the phenomenon. The growth of the elderly population will be more marked in Asia, Latin America, the Middle East, and Africa than in Europe and North America, and it is in the former regions that the greatest increments in hip fracture are projected so that these regions will account for over 70% of the 6.26 million hip fractures in the year 2050. The incidence rates of hip fractures vary considerably from population to population and race to race but increase exponentially with age in every group. Highest incidences have been described in the whites of Northern Europe (Scandinavia) and North America. In Finland, for example, the 1991 incidence of hip fractures was 1.1% for women and 0.7% for men over 70 years of age. Among elderly nursing home residents, the figures can be as high as 6.2% and 4.9%. The lifetime risk of a hip fracture is 16%-18% in white women and 5%-6% in white men. At the age of 80 years, every fifth woman and at the age of 90 years almost every second woman has suffered a hip fracture. Since populations are aging worldwide, the mean age of the hip fracture patients are increasing rapidly, too. Between 1970 and 1991, the mean age of male Finnish patients increased dramatically from 52.9 years to 69.0 years. In women, the corresponding figures were 71.6 and 78.9 years. This change is likely to cause increasing problems in the treatment and rehabilitation of the patients. In 1990, 72% of the hip fractures worldwide occurred in women. All over the world, the hip fracture incidences are about two times higher in women than in men. Women's overrepresentation has been explained by women's lower bone mass and density and higher frequency of falling. Epidemiologic studies show that trochanteric fractures are an increasing problem since compared with cervical fractures their relative number increases progressively with age in women after the age of 60 years and since their incidence has been shown to increase in both sexes and all age groups during the recent decades. This may have direct public health implication since mortality, morbidity, and costs caused by trochanteric fractures are higher than those of the cervical fractures. Reduced bone density (strength) by age and over the recent decades has been the most frequently mentioned reason for the increase of trochanteric fractures. Also, the fall characteristics of the elderly may have changed during the recent decades resulting in increasing numbers of this type of hip fractures since the type of the hip fracture (cervical or trochanteric) also depends on the impact angle of the greater trochanter at the moment of the floor contact. Epidemiology of hip fractures. pdf
17 Cost-effectiveness of the treatment and prevention of osteoporosis--a review of the literature and a reference model.
Zethraeus N, Borgström F, Ström O, Kanis JA, Jönsson B.
Osteoporos Int. 2007 Jan;18(1):9-23. Epub 2006 Nov 9.
Centre for Health Economics, Stockholm School of Economics, P.O. Box 6501, S-113 83 Stockholm, Sweden. henz@hhs.se
18 http://www.menopause.org/meetings/premierpartners.aspx
19 NAMS is not alone. I could find no organization of people who profit from DEXA scanning that does not subscribe to the current delusions Even researchers who support the WHO definition note the difficulties of establishing young adult norms and counsel discretion in interpretation of the results. See "An update on the diagnosis and assessment of osteoporosis with densitometry." Committee of Scientific Advisors, International Osteoporosis Foundation.
Kanis JA, Glüer CC. Osteoporos Int. 2000;11(3):192-202.